Linear Algebra #04 | Inverse Matrix

기본행렬

📌 기본행렬(Elementray matrix)

단위행렬의 두 행을 교환하거나 한 행에 0이 아닌 상수를 곱사거나, 한 행의 상수배를 다른 행에 더하여 만든 행렬을 기본행렬이라 한다.

img
기본행렬
  • E1E_1: R1R_1 <=> R2R_2
  • E2E_2: R3R_3 <= 5R35R_3
  • E3E_3: R3R_3 <= 4R1+R3-4R_1 + R_3

📌 기본행렬의 특징

  • 행렬방정식의 양변에 기본행렬을 곱하는 것은 동치인 연립선형방정식을 만드는 연산과 같다.

    img
    기본행렬과 연립선형방정식
  • 기본행렬은 가역행렬이며, 기본행렬의 역행렬도 역시 기본행렬이다.

    img
    기본행렬의 역행렬

📌 행 동치(Row equivalence)

행렬 A, BA,\ B에 대해 AABB로 바꾸는 일련의 기본 행렬이 있으면 A, BA,\ B행 동치라고 하며, AA~BB로 표기한다.

B=EnEn1 ... E1AB=E_nE_{n-1}\ ...\ E_1A


위의 식에서 B가 단위행렬이라면 EnEn1 ... E1E_nE_{n-1}\ ...\ E_1은 A의 역행렬이 된다.


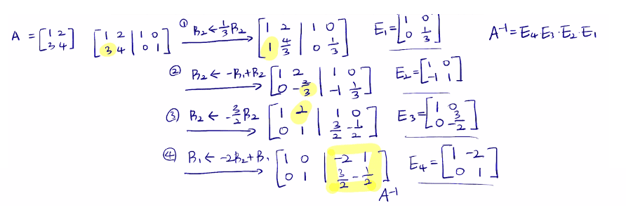
📌 기본행렬을 통한 역행렬 구하기

위의 식을 이용해서 첨가행렬(Chapter 2참고)로 역행렬을 구하는 행렬 방정식을 써보면

[A  I][A\ |\ I] => [EnEn1 ... E1A  EnEn1 ... E1][E_nE_{n-1}\ ...\ E_1A\ |\ E_nE_{n-1}\ ...\ E_1] => [I  A1][I\ |\ A^{-1}]

예제를 통해 2차 행렬과 3차 행렬의 역행렬을 구해보자.

img
2차 행렬의 역행렬 계산
img
3차 행렬의 역행렬 계산

역행렬의 활용

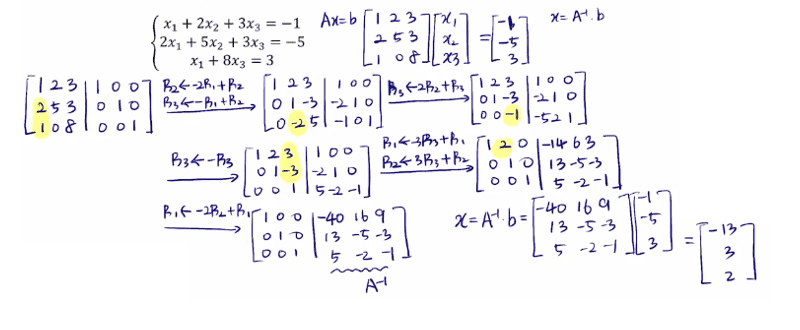
📌 연립선형방정식 풀이

연립선형방정식을 나타내는 행렬방정식 Ax=bAx=b에서 AA가 가역인 nn차 정방행렬이고 bbn×1n×1 행렬일 때, x=A1bx=A^{-1}b는 유일한 해이다.

img
역행렬을 활용해 연선방 풀기

📌 행렬 방정식 풀이

연선방 풀이와 비슷한 방법으로 아래의 행렬 방정식도 풀 수 있다.

AB=CAB = C일 때 양 변에 A1A^{-1}을 곱해서 B=A1CB=A^{-1}C로 구한다.

img
역행렬을 활용해 행렬 방정식 풀기

📌 동차 연립선형방정식(homogeneous system of linear equations)

Ax=0Ax = 0형태의 연립선형방정식을 동차 연립선형방식 이라고 한다.

[121313231][x1x2x3]=[000]\begin{bmatrix}1&2&1 \\ 3&{-1}&{3} \\ 2&3&1 \end{bmatrix} \begin{bmatrix} x_1\\x_2\\x_3 \end{bmatrix} = \begin{bmatrix} 0\\0\\0 \end{bmatrix}

x1=x2=x3=0x_1 = x_2 = x_3 = 0

연립선형방정식의 경우 [해1개, 불능, 부정] 3가지 경우가 있는데, 동차 연선방의 경우 해가 1개인 경우 즉, x=0x = 0인 경우 자명해(trivial solution)라 하고, 부정인 경우 x0x\not= 0인 해를 비자명해(non-trival solution)이라 한다.

동차 연선방 Ax=0A_x=0에서 AA가 가역이라면, 자명해만 존재하고, 미지수의 개수가 선형방정식의 개수보다 많은 동차 연선방에서는 비자명해를 갖는다. 비자명해인 경우와 자명해인 경우를 예시를 통해 살펴보자

ex1) {x1+x2+x3=02x1+3x2+2x3=03x1+8x2+2x3=0\begin{cases} &x_1 + x_2 + x_3 = 0 \\ &2x_1 + 3x_2 + 2x_3 = 0 \\ &3x_1 + 8x_2 + 2x_3 = 0 \end{cases}

img
자명해를 갖는 경우

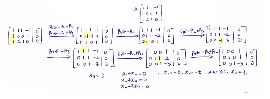
ex2) {x1+x2+x3x4=0x1+x4=0x1+2x2+x3=0\begin{cases} &x_1 + x_2 + x_3 - x_4 = 0 \\ &x_1 + x_4 = 0 \\ &x_1 + 2x_2 + x_3 = 0 \end{cases}

img
비자명해를 갖는 경우

LU분해

📌 LU 분해란

임의의 행렬 AA를 하삼각행렬 LL과 상삼각행렬 UU의 곱인 A=LUA=LU로 표현하는 것을 LU분해(LU 행렬 분해)라고 한다.

img
LU 분해의 형태 3가지

위와 같이 [1. 단위 하삼각행렬 x 상삼각행렬, 2. 하삼각행렬 x 단위상삼각행렬, 3. 하삼각 x 상삼각]의 형태로 나뉘어 진다.

ex1) A=[12438142613]=[100310211][124022003]A = \begin{bmatrix}1&2&4 \\ 3&8&14 \\ 2&6&13 \end{bmatrix} = \begin{bmatrix}1&0&0 \\ 3&1&0 \\ 2&1&1 \end{bmatrix} \begin{bmatrix}1&2&4 \\ 0&2&2 \\ 0&0&3 \end{bmatrix}

ex2) B=[123113202407]=[100110201][123105110065]B = \begin{bmatrix}1&2&-3&1 \\ -1&3&2&0 \\ 2&4&0&7 \end{bmatrix} = \begin{bmatrix}1&0&0 \\ -1&1&0 \\ 2&0&1 \end{bmatrix} \begin{bmatrix}1&2&-3&1 \\ 0&5&-1&1 \\ 0&0&6&5 \end{bmatrix}

이번 시간에는 정방행렬에 대한 LU분해만 알아보자.


📌 LU 분해 가능여부

행렬 AA에 대해, [1. 한 행에 0이 아닌 상수를 곱하는 연산, 2. 위쪽 행의 상수배를 다른 행에 더하는 연산] 두 개의 연산만을 통해 상삼각행렬을 만들 수 있으면 해당 행렬은 LU분해할 수 있다.

ex) A=[100002011]A = \begin{bmatrix}1&0&0 \\ 0&0&2 \\ 0&1&-1 \end{bmatrix}은 LU분해할 수 없다.


📌 기본행렬을 이용한 LU 분해

EnEn1...E1A=UE_nE_{n-1}...E_1A=U라 할 때 A=E11...En11En1UA={E_1}^{-1}...{E_{n-1}}^{-1}{E_n}^{-1}U 이기 때문에

LLE11...En11En1{E_1}^{-1}...{E_{n-1}}^{-1}{E_n}^{-1}가 된다.


A=[112210042]A = \begin{bmatrix}1&-1&2 \\ 2&1&0 \\ 0&4&-2 \end{bmatrix}

img
기본행렬을 이용한 LU 분해

위의 과정을 통해 A=LU=[1002100431][11203400223]A = LU = \begin{bmatrix}1&0&0 \\ 2&1&0 \\ 0&\frac{4}{3}&1 \end{bmatrix}\begin{bmatrix}1&-1&2 \\ 0&3&-4 \\ 0&0&\frac{22}{3} \end{bmatrix} 이다.


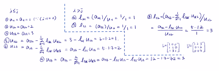
📌 두리틀 알고리즘을 통한 LU분해

두리틀 알고리즘을 통해 하삼각행렬과 상삼각행렬을 계산할 수 있다.

img
두리틀 알고리즘

이 알고리즘을 통해 A=[1231351512]A = \begin{bmatrix}1&2&3 \\ 1&3&5 \\ 1&5&12 \end{bmatrix}을 LU분해 해보자.

img
두리틀 알고리즘을 통한 LU분해

📌 LU분해의 활용

강해져서 돌아오거라


📌 LU분해를 통한 역행렬 구하기

img
LU분해를 통해 역행렬

블록행렬의 역행렬

📌 블록 상삼각행렬

다음과 같은 형태를 갖는 블록행렬을 블록 상삼각행렬이라 한다.

📌 블록 상삼각행렬의 역행렬 구하기

📌 블록 대각행렬

📌 블록 대각행렬의 역행렬 구하기

📌 슈어 보수행렬

📌 슈어 보수행렬을 통해 블록행렬의 역행렬 구하기